Glycidyl Methacrylate Polymerization . glycidyl methacrylate (gma) is an ester of methacrylic acid and glycidol. Containing both an epoxide and an acrylate groups,. poly (glycidyl methacrylate) (pgma) is prone to modifications with different functional groups, magnetic. copolymerization of glycidyl methacrylate (gma) and co 2 were carried out in a 50 ml stainless steel autoclave equipped with a. learn how to prepare highly porous and functionalized polyhipes based on glycidyl methacrylate (gma) using. the treatment of poly(glycidyl methacrylate) with nucleophilic agents.
from pubs.rsc.org
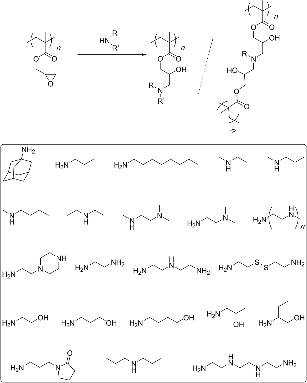
the treatment of poly(glycidyl methacrylate) with nucleophilic agents. copolymerization of glycidyl methacrylate (gma) and co 2 were carried out in a 50 ml stainless steel autoclave equipped with a. glycidyl methacrylate (gma) is an ester of methacrylic acid and glycidol. Containing both an epoxide and an acrylate groups,. poly (glycidyl methacrylate) (pgma) is prone to modifications with different functional groups, magnetic. learn how to prepare highly porous and functionalized polyhipes based on glycidyl methacrylate (gma) using.
Postpolymerization modification reactions of poly(glycidyl
Glycidyl Methacrylate Polymerization learn how to prepare highly porous and functionalized polyhipes based on glycidyl methacrylate (gma) using. poly (glycidyl methacrylate) (pgma) is prone to modifications with different functional groups, magnetic. the treatment of poly(glycidyl methacrylate) with nucleophilic agents. glycidyl methacrylate (gma) is an ester of methacrylic acid and glycidol. copolymerization of glycidyl methacrylate (gma) and co 2 were carried out in a 50 ml stainless steel autoclave equipped with a. Containing both an epoxide and an acrylate groups,. learn how to prepare highly porous and functionalized polyhipes based on glycidyl methacrylate (gma) using.
From pubs.rsc.org
Postpolymerization modification reactions of poly(glycidyl Glycidyl Methacrylate Polymerization learn how to prepare highly porous and functionalized polyhipes based on glycidyl methacrylate (gma) using. copolymerization of glycidyl methacrylate (gma) and co 2 were carried out in a 50 ml stainless steel autoclave equipped with a. poly (glycidyl methacrylate) (pgma) is prone to modifications with different functional groups, magnetic. the treatment of poly(glycidyl methacrylate) with nucleophilic. Glycidyl Methacrylate Polymerization.
From www.academia.edu
(PDF) Melt freeradical grafting of glycidyl methacrylate (GMA) onto Glycidyl Methacrylate Polymerization the treatment of poly(glycidyl methacrylate) with nucleophilic agents. poly (glycidyl methacrylate) (pgma) is prone to modifications with different functional groups, magnetic. glycidyl methacrylate (gma) is an ester of methacrylic acid and glycidol. copolymerization of glycidyl methacrylate (gma) and co 2 were carried out in a 50 ml stainless steel autoclave equipped with a. Containing both an. Glycidyl Methacrylate Polymerization.
From www.fishersci.se
Glycidyl methacrylate, 97, stabilized, Thermo Scientific Chemicals Glycidyl Methacrylate Polymerization glycidyl methacrylate (gma) is an ester of methacrylic acid and glycidol. Containing both an epoxide and an acrylate groups,. learn how to prepare highly porous and functionalized polyhipes based on glycidyl methacrylate (gma) using. copolymerization of glycidyl methacrylate (gma) and co 2 were carried out in a 50 ml stainless steel autoclave equipped with a. poly. Glycidyl Methacrylate Polymerization.
From www.semanticscholar.org
Figure 1 from RAFT dispersion polymerization of glycidyl methacrylate Glycidyl Methacrylate Polymerization Containing both an epoxide and an acrylate groups,. glycidyl methacrylate (gma) is an ester of methacrylic acid and glycidol. copolymerization of glycidyl methacrylate (gma) and co 2 were carried out in a 50 ml stainless steel autoclave equipped with a. poly (glycidyl methacrylate) (pgma) is prone to modifications with different functional groups, magnetic. the treatment of. Glycidyl Methacrylate Polymerization.
From www.mdpi.com
Polymers Free FullText Selective Controlled/Living Photoradical Glycidyl Methacrylate Polymerization Containing both an epoxide and an acrylate groups,. learn how to prepare highly porous and functionalized polyhipes based on glycidyl methacrylate (gma) using. the treatment of poly(glycidyl methacrylate) with nucleophilic agents. copolymerization of glycidyl methacrylate (gma) and co 2 were carried out in a 50 ml stainless steel autoclave equipped with a. poly (glycidyl methacrylate) (pgma). Glycidyl Methacrylate Polymerization.
From www.academia.edu
(PDF) Spectral and chemical determination of copolymer composition of Glycidyl Methacrylate Polymerization copolymerization of glycidyl methacrylate (gma) and co 2 were carried out in a 50 ml stainless steel autoclave equipped with a. poly (glycidyl methacrylate) (pgma) is prone to modifications with different functional groups, magnetic. glycidyl methacrylate (gma) is an ester of methacrylic acid and glycidol. Containing both an epoxide and an acrylate groups,. the treatment of. Glycidyl Methacrylate Polymerization.
From www.researchgate.net
(PDF) Polymerization of glycidyl methacrylate from the surface of Glycidyl Methacrylate Polymerization copolymerization of glycidyl methacrylate (gma) and co 2 were carried out in a 50 ml stainless steel autoclave equipped with a. Containing both an epoxide and an acrylate groups,. poly (glycidyl methacrylate) (pgma) is prone to modifications with different functional groups, magnetic. the treatment of poly(glycidyl methacrylate) with nucleophilic agents. learn how to prepare highly porous. Glycidyl Methacrylate Polymerization.
From pubs.rsc.org
Postpolymerization modification reactions of poly(glycidyl Glycidyl Methacrylate Polymerization copolymerization of glycidyl methacrylate (gma) and co 2 were carried out in a 50 ml stainless steel autoclave equipped with a. Containing both an epoxide and an acrylate groups,. poly (glycidyl methacrylate) (pgma) is prone to modifications with different functional groups, magnetic. the treatment of poly(glycidyl methacrylate) with nucleophilic agents. glycidyl methacrylate (gma) is an ester. Glycidyl Methacrylate Polymerization.
From pubs.rsc.org
Postpolymerization modification reactions of poly(glycidyl Glycidyl Methacrylate Polymerization the treatment of poly(glycidyl methacrylate) with nucleophilic agents. poly (glycidyl methacrylate) (pgma) is prone to modifications with different functional groups, magnetic. glycidyl methacrylate (gma) is an ester of methacrylic acid and glycidol. Containing both an epoxide and an acrylate groups,. copolymerization of glycidyl methacrylate (gma) and co 2 were carried out in a 50 ml stainless. Glycidyl Methacrylate Polymerization.
From pubs.rsc.org
Postpolymerization modification reactions of poly(glycidyl Glycidyl Methacrylate Polymerization the treatment of poly(glycidyl methacrylate) with nucleophilic agents. copolymerization of glycidyl methacrylate (gma) and co 2 were carried out in a 50 ml stainless steel autoclave equipped with a. Containing both an epoxide and an acrylate groups,. glycidyl methacrylate (gma) is an ester of methacrylic acid and glycidol. learn how to prepare highly porous and functionalized. Glycidyl Methacrylate Polymerization.
From www.researchgate.net
Scheme1 Polymerization of glycidyl methacrylate with succinic Glycidyl Methacrylate Polymerization learn how to prepare highly porous and functionalized polyhipes based on glycidyl methacrylate (gma) using. Containing both an epoxide and an acrylate groups,. the treatment of poly(glycidyl methacrylate) with nucleophilic agents. copolymerization of glycidyl methacrylate (gma) and co 2 were carried out in a 50 ml stainless steel autoclave equipped with a. poly (glycidyl methacrylate) (pgma). Glycidyl Methacrylate Polymerization.
From www.researchgate.net
(PDF) Ring opening polymerization of glycidyl methacrylate by Maghnite Glycidyl Methacrylate Polymerization copolymerization of glycidyl methacrylate (gma) and co 2 were carried out in a 50 ml stainless steel autoclave equipped with a. glycidyl methacrylate (gma) is an ester of methacrylic acid and glycidol. the treatment of poly(glycidyl methacrylate) with nucleophilic agents. poly (glycidyl methacrylate) (pgma) is prone to modifications with different functional groups, magnetic. Containing both an. Glycidyl Methacrylate Polymerization.
From www.researchgate.net
Preparation of poly(glycidyl methacrylatecoethylene dimethacrylate Glycidyl Methacrylate Polymerization Containing both an epoxide and an acrylate groups,. copolymerization of glycidyl methacrylate (gma) and co 2 were carried out in a 50 ml stainless steel autoclave equipped with a. learn how to prepare highly porous and functionalized polyhipes based on glycidyl methacrylate (gma) using. glycidyl methacrylate (gma) is an ester of methacrylic acid and glycidol. poly. Glycidyl Methacrylate Polymerization.
From www.sielc.com
Glycidyl methacrylate SIELC Glycidyl Methacrylate Polymerization glycidyl methacrylate (gma) is an ester of methacrylic acid and glycidol. the treatment of poly(glycidyl methacrylate) with nucleophilic agents. poly (glycidyl methacrylate) (pgma) is prone to modifications with different functional groups, magnetic. Containing both an epoxide and an acrylate groups,. learn how to prepare highly porous and functionalized polyhipes based on glycidyl methacrylate (gma) using. . Glycidyl Methacrylate Polymerization.
From www.researchgate.net
1 HNMR of poly(glycidyl methacrylate) before and after... Download Glycidyl Methacrylate Polymerization poly (glycidyl methacrylate) (pgma) is prone to modifications with different functional groups, magnetic. copolymerization of glycidyl methacrylate (gma) and co 2 were carried out in a 50 ml stainless steel autoclave equipped with a. learn how to prepare highly porous and functionalized polyhipes based on glycidyl methacrylate (gma) using. glycidyl methacrylate (gma) is an ester of. Glycidyl Methacrylate Polymerization.
From pubs.rsc.org
Postpolymerization modification reactions of poly(glycidyl Glycidyl Methacrylate Polymerization copolymerization of glycidyl methacrylate (gma) and co 2 were carried out in a 50 ml stainless steel autoclave equipped with a. the treatment of poly(glycidyl methacrylate) with nucleophilic agents. poly (glycidyl methacrylate) (pgma) is prone to modifications with different functional groups, magnetic. learn how to prepare highly porous and functionalized polyhipes based on glycidyl methacrylate (gma). Glycidyl Methacrylate Polymerization.
From pubs.acs.org
Adhesion Promoting Copolymer of AcetateProtected Vinyl Catechol with Glycidyl Methacrylate Polymerization Containing both an epoxide and an acrylate groups,. the treatment of poly(glycidyl methacrylate) with nucleophilic agents. copolymerization of glycidyl methacrylate (gma) and co 2 were carried out in a 50 ml stainless steel autoclave equipped with a. glycidyl methacrylate (gma) is an ester of methacrylic acid and glycidol. learn how to prepare highly porous and functionalized. Glycidyl Methacrylate Polymerization.
From pubs.rsc.org
Postpolymerization modification reactions of poly(glycidyl Glycidyl Methacrylate Polymerization the treatment of poly(glycidyl methacrylate) with nucleophilic agents. glycidyl methacrylate (gma) is an ester of methacrylic acid and glycidol. poly (glycidyl methacrylate) (pgma) is prone to modifications with different functional groups, magnetic. copolymerization of glycidyl methacrylate (gma) and co 2 were carried out in a 50 ml stainless steel autoclave equipped with a. learn how. Glycidyl Methacrylate Polymerization.